ActivAMP® 專利絞股藍萃取物

ActivAMP 是一款專為體重管理所設計,萃取自絞股藍的機能性原料。

原料介紹

ActivAMP® 是一款專為體重管理而開發,由韓國植萃大廠 BTC 所製造的絞股藍萃取物。嚴選「南方人蔘」韓國絞股藍,並採用獨家專利皂苷熱萃技術,提供豐富的 Rg3 人蔘皂苷與絞股藍皂苷。經多項科學及臨床實證,有助調整體質、促進新陳代謝及增進運動表現,適用於保健食品或機能食品之開發應用。

南方人蔘:絞股藍

絞股藍 (Jiaogulan) 是一種葫蘆科的多年生草本植物,亦稱為七葉膽或甘蔓茶,在中國、日本、韓國與東南亞等地,廣泛作為茶飲已有悠久歷史。其藥用價值最早紀載於明代《救荒本草》,具有清熱解毒、止咳祛痰及滋補強身等作用。現代科學則揭示,絞股藍富含多達 200 種以上的達瑪烷型皂苷,並具有調整體質、促進新陳代謝及舒壓安神等效果。特別的是,其活性成份亦與人蔘相似,因此也有「南方人蔘」的美稱。

絞股藍又稱為七葉膽,富含獨特的達瑪烷型三萜皂苷,具有調節血脂與血糖,促進新陳代謝的效果。
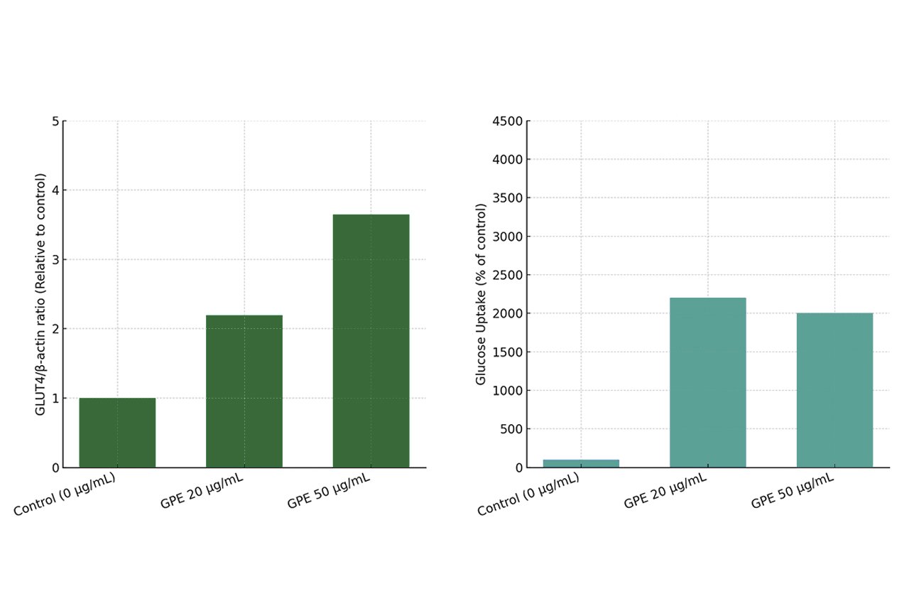
絞股藍皂苷能夠促進細胞 AMPK 代謝路徑,進而調控脂肪代謝消耗。

絞股藍皂苷

研究指出,絞股藍皂苷 (Gypenosides) 的生理活性,以能量代謝路徑 AMPK / SIRT1 / PGC-1α 為核心,參與粒線體生合成、能量代謝與抗氧化機制,進一步抑制脂肪酸合成、減少脂肪堆積及增進粒線體功能。

科學研究

ActivAMP® 應用場景

原料規格

ActivAMP 是一款萃取自絞股藍地上部的深綠色粉末,可溶於水,適用於機能食品與保健食品。
項目內容
製造廠商Gencor (香港) / BTC (韓國)
原料規格0.1% 人蔘皂苷 (Rg3)  / 1% 絞股藍皂苷 (GL)
認證聲明GMP / HACCP / FSSC22000 / HALAL
劑型應用膠囊 / 錠劑 / 粉包 / 飲品 / 機能食品

為什麼要選擇 ActivAMP®

ActivAMP® 由韓國 BTC 植萃大廠製造,知名原料商 Gencor Pacific 供應全球,透過 5 倍濃淬與專利皂苷熱解技術,最大化釋放絞股藍所蘊含的皂苷活性,並定量 1% 絞股藍皂苷 (Gypenoside L) 與 0.1% 人蔘皂苷 (Ginsenoside Rg3)。同時,ActivAMP® 秉持傳統漢方精神,不含西藥或賦形劑,為 100% 天然絞股藍成份,配方簡單無負擔。經科學與臨床實證,ActivAMP® 能夠促進 AMPK 代謝訊息活化,並有助促進新陳代謝、打造纖盈好體質。

FAQ

ActivAMP® 是一款絞股藍萃取物,具有標準化的 Rg3 與絞股藍皂苷含量,適合機能食品及保健食品之開發應用。

根據衛福部公告,絞股藍 (或稱七葉膽) 屬於可供食品使用之原料,並應標示「本品請勿長期或大量食用」之警語字樣。

ActivAMP® 的產地位於韓國,由 BTC 公司所製造 (由 Gencor Pacific 公司擔任品牌經營與銷售)。

ActivAMP® 適用於體重管理、運動營養及調整代謝等健康訴求,可搭配藤黃果、綠茶、黑胡椒、白腎豆、菊苣纖維、共軛亞油酸、精胺酸、維生素 B 群;瓜拿納、肌酸、紅石榴、酸櫻桃、鎂;或是肉桂、苦瓜、薑黃、鉻、鋅等成分。

供應商介紹

BTC Corporation 成立於 2006 年,總部位於韓國京畿道,專注於保健食品原料的研發與生產。該公司在益山 (Iksan) 國家食品園區設有國際認證功能,並具有先進的植物萃取與發酵技術。BTC 以高品質與穩定供應為核心,成為全球品牌商可靠的生產夥伴。Gencor Pacific 則在 1999 年成立於香港,專注於推廣具科學驗證的營養保健原料。該公司強調市場導向與品牌化策略,並積極與學研單位合作,建立臨床研究與法規資源。其銷售版圖涵蓋亞太、歐洲、中東、非洲及美洲,具備銷售與專業行銷能力的優勢。